At Shapeheart, we love calculations.
So, let's break it down to explain how our patented magnet system can lift more than 8 kg and still resist wind speed.
We also explain it all in a video 👉

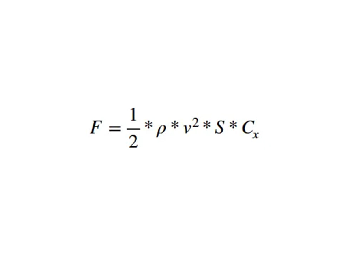
Formula
In turbulent flow, the force applied by the wind on the sleeve is expressed as follows:
No worries, we'll explain all the parameters below:
• r is the air density = 1.292 kg.m-3
• v is the speed in m.s-1
• S is the surface area of the sleeve = 18 * 10 cm2
• Cx is the drag coefficient = 1.1
• F is the force expressed in Newton

For 8kg = 80N (N for Newton) of force from our magnetic system, the theoretical maximum speed is obtained using the formula:

Max. theoretical speed
If we plot this curve, we get:
on the Y-axis: speed
on the X-axis: magnetic force in N

Which gives 80N or 8kg of force from the magnetic system at a speed of 285 km/h:
Note that in reality, this speed is likely twice as high:
The phone is never positioned at 90° (vertically) to the wind, but rather at 45°, and the structure of the motorcycle breaks and slows down the airflow near the handlebars.
